2022年2月份70城房价数据出炉!来看看唐山房价...
唐山信息港 发表于:2022-3-16 21:19 复制链接 看图 发表新帖
阅读数:19560
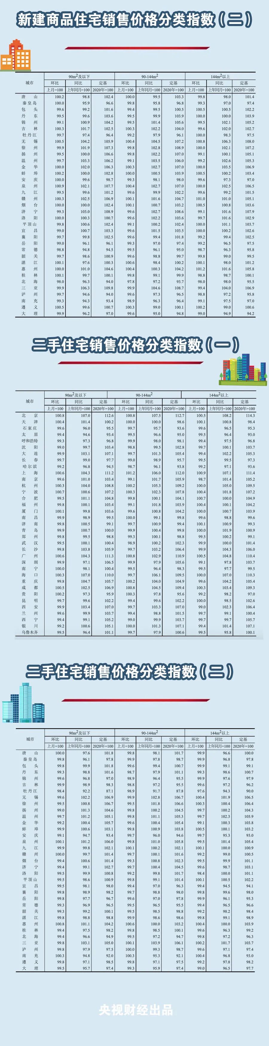
  国家统计局今天(16日)发布数据显示,2022年2月份,70个大中城市中,一线城市新建商品住宅和二手住宅销售价格环比上涨,二三线城市环比持平或下降;一二线城市商品住宅销售价格同比涨幅回落或持平,三线城市同比下降。
  一、一线城市新建商品住宅和二手住宅销售价格环比上涨,二三线城市环比持平或下降
2月份,一线城市新建商品住宅销售价格环比上涨0.5%,涨幅比上月回落0.1个百分点,其中北京、上海、广州和深圳分别上涨0.6%、0.5%、0.6%和0.4%;
  一线城市二手住宅环比上涨0.5%,涨幅比上月扩大0.4个百分点,其中北京、上海和广州分别上涨0.7%、0.9%和0.6%,深圳下降0.2%。
  二线城市新建商品住宅销售价格环比由上月上涨0.1%转为持平;二手住宅环比下降0.3%,降幅比上月扩大0.1个百分点。
  三线城市新建商品住宅销售价格环比下降0.3%,降幅比上月扩大0.1个百分点;二手住宅环比下降0.4%,降幅与上月相同。
  2月份,70个大中城市中,新建商品住宅和二手住宅销售价格环比上涨城市分别有27个和10个,环比下降城市分别有40个和57个。
  二、一二线城市新建商品住宅和二手住宅销售价格同比涨幅回落或持平,三线城市同比下降
  2月份,一线城市新建商品住宅销售价格同比上涨4.4%,涨幅与上月相同;  二手住宅同比上涨3.5%,涨幅比上月回落0.6个百分点。
  二线城市新建商品住宅和二手住宅销售价格同比分别上涨2.1%和0.3%,涨幅比上月分别回落0.4和0.7个百分点。三线城市新建商品住宅销售价格同比由上月上涨0.5%转为下降0.1%;二手住宅同比下降1.3%,降幅比上月扩大0.6个百分点。
  2月份,70个大中城市中,新建商品住宅和二手住宅销售价格同比上涨城市分别有46个和30个,同比下降城市分别有24个和39个。
  新建住宅方面,70个大中城市中,有27城环比价格上涨,比上月减少1城,西安环比涨1%领涨。
  2022年2月份70个大中城市
  商品住宅销售价格变动情况
https__3A__2F__2Fmmbiz___qpic___cn__2Fmmbiz_jpg__2FbPJzOqwPBpbJoWlAwQ01IdVQDyEguNjcF0jsNnO4CWOMtXdicwHa3tmauMDxdkxCPvhBrUiaAeUuvicCcmUnOIlRg__2F640__3Fwx_fmt__3Djpeg&r=https__3A__2F__2Fmp___weixin___qq___com__2Fs__2FU1DQepcUOYNg-xrybkGmXQ&c=1.jpg
https__3A__2F__2Fmmbiz___qpic___cn__2Fmmbiz_jpg__2FbPJzOqwPBpbJoWlAwQ01IdVQDyEguNjcicCmfmyvrK6skyzPJOicia7epdmViarwoWib5bozyDQc9kkE13QCxV5vIzQ__2F640__3Fwx_fmt__3Djpeg&r=https__3A__2F__2Fmp___weixin___qq___com__2Fs__2FU1DQepcUOYNg-xrybkGmXQ&c=1.jpg
  声明:本文整理自国家统计局、央视财经
返回列表 使用道具 举报
条评论
您需要登录后才可以回帖 登录 | 立即注册
相关推荐
©2001-2021 唐山信息港 http://www.tsxxg.com冀ICP备16001780号-4
首页联系我们客服微信:14369595Comsenz Inc.
bdall.peaapk.com xtrb.peaapk.com hdwxxg.peaapk.com qhdceo.peaapk.com tsxxg.peaapk.com lyshangdu.peaapk.com hsrb.peaapk.com lanfxx.peaapk.com chengdenews.peaapk.com szyongdian.peaapk.com dtnews.peaapk.com yqnews.peaapk.com changzhinews.peaapk.com jcnews.peaapk.com sxjzxww.peaapk.com sxycrb.peaapk.com lfxww.peaapk.com sxllnews.peaapk.com nmgnews.peaapk.com baotounews.peaapk.com tlsxxg.peaapk.com bynesrmtzx.peaapk.com shenyangx.peaapk.com dlxxgs.peaapk.com northtimes.peaapk.com jilin.peaapk.com ccxxg.peaapk.com 0437.peaapk.com ybrbnews.peaapk.com avapk