最新70城房价来了!涨幅总体稳定,唐山与上月持平
唐山信息港 发表于:2021-1-15 11:56 复制链接 看图 发表新帖
阅读数:7142
       国家统计局公布2020年12月份70个大中城市商品住宅销售价格变动情况。
       2020年12月份商品住宅销售价格稳中略涨。4个一线城市新建商品住宅销售价格环比上涨0.3%,北京、上海和广州分别上涨0.3%、0.2%和0.7%,深圳下降0.1%。
       一、各线城市商品住宅销售价格环比涨幅总体稳定
       初步测算,12月份,4个一线城市新建商品住宅销售价格环比上涨0.3%,涨幅比上月扩大0.1个百分点。其中,北京、上海和广州分别上涨0.3%、0.2%和0.7%,深圳下降0.1%。
       二手住宅销售价格环比上涨0.6%,涨幅比上月扩大0.1个百分点。其中,北京、上海、广州和深圳分别上涨0.5%、0.6%、0.7%和0.5%。
       31个二线城市新建商品住宅和二手住宅销售价格环比均上涨0.1%,涨幅均与上月相同。35个三线城市新建商品住宅和二手住宅销售价格环比分别上涨0.1%和0.2%,涨幅均与上月相同。
       二、各线城市商品住宅销售价格同比涨幅有扩有落
      初步测算,12月份,一线城市新建商品住宅销售价格同比上涨3.9%,涨幅与上月相同;二手住宅销售价格同比上涨8.6%,涨幅比上月扩大0.3个百分点。
       二线城市新建商品住宅销售价格同比上涨4.0%,涨幅比上月回落0.2个百分点;二手住宅销售价格同比上涨2.2%,涨幅比上月扩大0.1个百分点。
       三线城市新建商品住宅和二手住宅销售价格同比分别上涨3.5%和1.4%,涨幅比上月分别回落0.3和0.1个百分点。
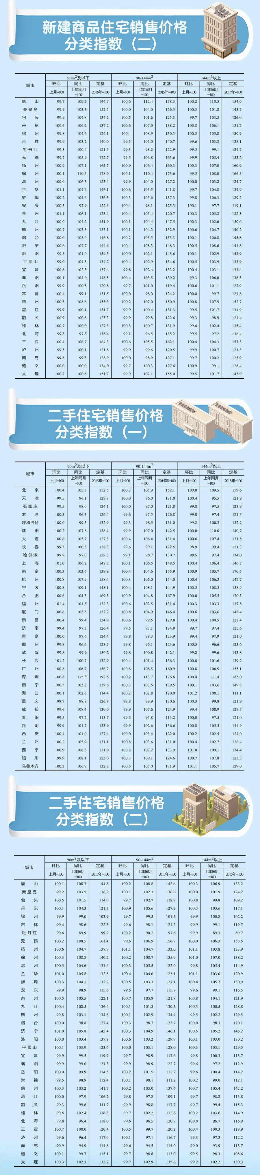
2020年12月份70个大中城市商品住宅销售价格变动情况
20210115115020.jpg
20210115115030.jpg
20210115115041.jpg
来源:国家统计局,央视财经

返回列表 使用道具 举报
条评论
您需要登录后才可以回帖 登录 | 立即注册
相关推荐
©2001-2021 唐山信息港 http://www.tsxxg.com冀ICP备16001780号-4
首页联系我们客服微信:14369595Comsenz Inc.
bdall.peaapk.com xtrb.peaapk.com hdwxxg.peaapk.com qhdceo.peaapk.com tsxxg.peaapk.com lyshangdu.peaapk.com hsrb.peaapk.com lanfxx.peaapk.com chengdenews.peaapk.com szyongdian.peaapk.com dtnews.peaapk.com yqnews.peaapk.com changzhinews.peaapk.com jcnews.peaapk.com sxjzxww.peaapk.com sxycrb.peaapk.com lfxww.peaapk.com sxllnews.peaapk.com nmgnews.peaapk.com baotounews.peaapk.com tlsxxg.peaapk.com bynesrmtzx.peaapk.com shenyangx.peaapk.com dlxxgs.peaapk.com northtimes.peaapk.com jilin.peaapk.com ccxxg.peaapk.com 0437.peaapk.com ybrbnews.peaapk.com avapk