2019河北高考一分一档表出炉!
唐山信息港 发表于:2019-6-23 09:18 复制链接 看图 发表新帖
阅读数:5925
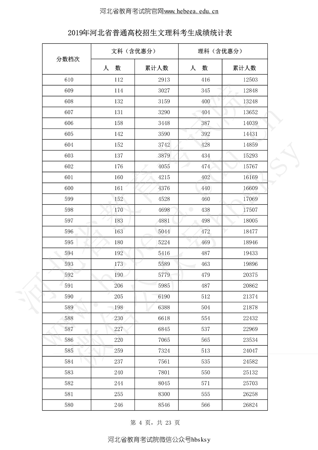
河北高考成绩可以查询了!相信考生现在都已经知道自己的分数了!全省考生们考的如何?一分一档表新鲜出炉!
2019年河北普通高校招生文理科一分一档表

c6e9faddae74f356b1e649f14eef562e.jpg

d439f88337d290a425fc3c673398ec63.jpg

293804eaace43307d719e481f8bcab69.jpg

0f4e55a8e15a1a4f17cd2cca8752319b.jpg

d4bc6b54c24dd812bfa85636b058750d.jpg

c4e2cb95df843aaf0ae8855e9496f2e2.jpg

32241e6e1b3964c52a4a7356585fd705.jpg

6fbe73510dd4b245ae31c2c50956fdc5.jpg

6ecbf6dccbcae6a99e229c5c5eadc278.jpg

1479bd7c287ef6288573d0e6ce369055.jpg

4ad822e8bf4dabbff29beb4fbad032cb.jpg

389e3e8bb055fb153ad0674cb64a0f09.jpg

ad03441db56d26c5ced7d68bf715660f.jpg

c9e37e1160cf6a1abd8d91b31e81a490.jpg

5639525ff95c14a28dd6b9165bdfa1f5.jpg

47f53835cdc994bf61585fbca983d164.jpg

609d01b7774b944fab4b44f43ca6610b.jpg

5476be1f69f282a4d5bcdb6ae0567e56.jpg

37c5b3f2e3f5118ec6f107a87ff02926.jpg

a640637e94a0d1e066b9466262b07c95.jpg

94616f0f41ae76c006b400f53e27896f.jpg

6c8726e15dbc9ac3989f370b07ee01a0.jpg

783fd2ae8d8e7967a6c02091df56ba06.jpg


高考录取分数线从河北省教育考试院获悉,经河北省招生委员会全体会议研究,确定了今年河北省普通高校招生各批各类录取控制分数线。其中,文史类本科一批为 549 分;理工类本科一批为 502 分。
返回列表 使用道具 举报
条评论
您需要登录后才可以回帖 登录 | 立即注册
相关推荐
©2001-2021 唐山信息港 http://www.tsxxg.com冀ICP备16001780号-4
首页联系我们客服微信:14369595Comsenz Inc.
bdall.peaapk.com xtrb.peaapk.com hdwxxg.peaapk.com qhdceo.peaapk.com tsxxg.peaapk.com lyshangdu.peaapk.com hsrb.peaapk.com lanfxx.peaapk.com chengdenews.peaapk.com szyongdian.peaapk.com dtnews.peaapk.com yqnews.peaapk.com changzhinews.peaapk.com jcnews.peaapk.com sxjzxww.peaapk.com sxycrb.peaapk.com lfxww.peaapk.com sxllnews.peaapk.com nmgnews.peaapk.com baotounews.peaapk.com tlsxxg.peaapk.com bynesrmtzx.peaapk.com shenyangx.peaapk.com dlxxgs.peaapk.com northtimes.peaapk.com jilin.peaapk.com ccxxg.peaapk.com 0437.peaapk.com ybrbnews.peaapk.com avapk